【背景及概述】
阿法替尼(Afatimib),化学名为4-[ (3-氯-4-氟苯基)氨基]-6-{[4-(N,N-二甲基氨基)-1-氧代-2-丁烯-1-基]氨基}-7-[(S)-(四氢呋喃-3-基)氧基]喹唑啉,是由德国的勃林格殷格翰公司研发的肺癌治疗药物。该药于2013年7月在美国批准上市。作为一种多靶点小分子药物,属于表皮生长因子受体(EGFR)和人表皮受体2(HER2)酪氨酸激酶的强效、 不可逆的双重抑制剂。作为新型一线治疗药物, 临床上用于晚期非小细胞肺癌及晚期乳腺癌、肠癌的治疗;同时,阿法替尼被选作多种肿瘤类别研究用途,现正进行头颈癌等的Ⅲ期临床试验。
随着对肺癌患者临床治疗的不断研究与探索,分子靶向药物的治疗手段不断得到证实,其治疗手段可以有效地缓解肺癌患者的病情。 研究发现,EGFR 家族与癌症的发展有着密切的关系,吉非替尼和厄洛替尼等 EGFR的一些针对可逆性小分子酪氨酸激酶抑制剂对肺癌患者有很好的临床效果,不过如果患者接收药物的时间变长,会出现不同程度的耐药,减弱了后期的治疗效果,达不到治疗目的。 当EGFR甚至出现新的基因突变时,就会导致晚期NSCLC 患者出现耐药的现象。阿法替尼是继厄洛替尼、拉帕替尼、吉非替尼后FDA 批准上市的第 4个EGFR抑制剂,其与前3种酪氨酸激酶抑制剂不同之处在于,可以不可逆地与相应受体结合,提供安全、持久、选择性的 ErbB 家族的阻断,可为此类疾病带来良好的治疗效果。阿法替尼除了能更强地抑制和不可逆地结合外,同时还对 T790M有较强的抑制作用,用于治疗 NSCLC,可显著改善临床症状,提高患者生活质量,是一种有价值的新选择,为 EGFR激活突变的 NSCLC 患者提供了新的选择和治疗希望。
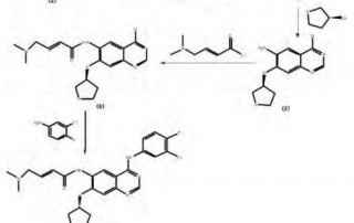
【制备】
以6-氨基-7-羟基-3,4-二氢喹唑啉-4-酮(2)作为起始原料,与乙酰氯发生乙酰化反应得到6-乙酰胺基-7-乙酰氧基-3,4-二氢喹唑啉-4-酮(3),然后经三氯氧磷氯化、氢氧化钾水解得4-氯-6-氨基-7-羟基喹唑啉(4),与( S)-3-羟基四氢呋喃发生Mitsunobu反应得4-氯-6-氨基-7-[(S)-(四氢呋喃-3-基)-氧基]喹唑啉(5),与4-(N,N-二甲胺基)-2-烯-丁酰氯成酰胺得4-氯-6-{[4-(N,N-二甲基氨基)-1-氧代-2-丁烯-1-基]氨基}-7-[(S)-(四氢呋喃-3-基)氧基]喹唑啉(6) ,在三乙胺存在下3-氯-4-氟苯胺缩合生成阿法替尼。其合成路线见图2。此工艺原料易得,减少了反应步骤、降低了制备成本,整个过程操作简单,可控性强,没有苛刻的反应条件, 原料价格低廉,实验总收率为46.8%,适合工业化生产。
【作用机制】
Castellanos 等的研究显示,约15% 的NSCLC患者存在EGFR 突变,其中多数伴EGFR外显子19 缺失或外显子21 替代突变中的1 种。 阿法替尼是新一代TKI,是一种不可逆的表皮生长因子受体家族的酪氨酸激酶抑制剂( ErbB) ,包括 EGFR,HER2 和ErbB4。阿法替尼分别与HER2上的Cys( 半胱氨酸) 805, ErbB4上的Cys803,EGFR 上的Cys797以共价结合。共价结合不可逆地抑制了受体的酪氨酸激酶活性,引起胞内酪氨酸残基自身磷酸化,从而抑制了所有 ErbB 受体家族成员信号传导中的重要步骤,使阿法替尼对有EGFR突变的 NSCLC患者具有抗肿瘤作用。因此,阿法替尼对厄洛替尼和吉非替尼耐药的 NSCLC 患者仍具有较高的活性。
【药代动力学】
Wind 等对健康志愿者和晚期实体肿瘤患者的研究显示,每日1 次的阿法替尼呈非线性药代动力学特征。口服后阿法替尼2~5 h达最大血浆浓度,之后开始下降,呈现出至少双指数药代动力学特征。食物可降低阿法替尼的吸收。阿法替尼的代谢率很低,以原形药物为主,通过粪便排泄,约 5% 通过尿液排泄。阿法替尼在人体内主要以共价键与血浆蛋白结合。 稳态时的半衰期约为 37 h,提示应每天 1 次的剂量给药。 阿法替尼的药代动力学特性在不同患者群体中是一致的,年龄、种族、吸烟状况、肝功能无影响,而女性和低体质量患者阿法替尼的药代动力学参数增加。 阿法替尼血药浓度与肾功能有关,对于严重肾功能损害的患者,药-时曲线下面积( AUC) 大约增加50%。阿法替尼受到生物转化的药物相互作用影响很小,特别是细胞色素P450酶。然而,与 P-糖蛋白转运体抑制剂或诱导剂合并治疗可影响阿法替尼的药代动力学。在剂量为50 mg时,阿法替尼无潜在的致心律失常作用。
王允芬等招募的健康男性志愿者,单剂量口服阿法替尼15 mg 后缓慢吸收,6 h后血药浓度达血浆峰浓度,后以双指数方式逐渐下降。血浆平均终末半衰期达到( 34.21±2.49) h,总清除率为(1530.19±214.97) mL/min,血浆分布体积高达4500 L,提示其组织分布广泛,且主要分布在肝、脾、睾丸等处,较少分布在视网膜及中枢神经系统。吴一龙研究报道,体外阿法替尼对钾通道具有较弱的抑制作用,对离体豚鼠乳头肌的动作电位时程无明显影响,可避免干预伴有心血管疾病患者的电生理。陈晓丹报道,在对大鼠的动物试验中,阿法替尼对潮气量、呼吸次数、每分钟呼气量均无显著影响,提示不会影响非小细胞肺癌患者的通气换气功能。

